Views: 0 Author: Site Editor Publish Time: 2025-12-20 Origin: Site
Selecting and correctly sizing a cooling tower for a chiller is critical to ensure optimal performance, energy efficiency, and long service life. Whether you are working with a water cooled tower, chilled water cooling tower, or condenser water cooling tower, understanding the essential principles and calculations for sizing is key.
In this guide, you’ll find a comprehensive explanation, practical tables, and step-by-step methods to size cooling towers — all tailored for facility engineers, HVAC designers, and plant managers. We also highlight the products and expertise of Mach Cooling (https://www.machcooling.com/), a leading cooling tower manufacturer.
In a typical chilled-water system, the chiller rejects heat from the chilled water loop into a secondary loop (the condenser water loop) that ultimately rejects heat to the atmosphere via a cooling tower.
Key components include:
Chiller – removes heat from chilled water
Condenser water loop – carries heat to the cooling tower
Cooling tower – rejects heat to the air
Because these systems are interdependent, the cooling tower must be sized correctly to match the chiller’s heat rejection load.


Before diving into calculations:
A cooling tower that uses water as the primary fluid for heat exchange with the air. Common terms include:
Makeup water – water added to replace losses
Blowdown – water removed to control conductivity
A name often used when cooling towers serve the chilled-water system. Technically, it cools condenser water, but the term emphasizes its role in chilled systems.
A cooling tower dedicated to rejecting heat from the condenser circuit of a chiller or multiple chillers.
Accurate sizing involves understanding the heat rejection requirements, temperature profiles, and desired approach values.
Chillers are rated in tons of refrigeration (TR). One ton = 12,000 BTU/hr.
Total heat rejection (BTU/hr) includes both:
Cooling load (to chilled water)
Compressor heat (approximately 20–30% extra)
Formula:

Where k = 0.25 (typical for water-cooled chillers)
Example:
Chiller = 400 TR

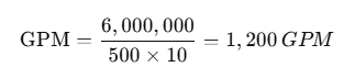
Cooling towers are sized based on condenser water flow rate (GPM).
Use:

500 = constant (lbs/ft⊃3; × 60 minutes × specific heat of water)
ΔT (temperature difference) is the range between hot water entering tower and cold water leaving.
Table: ΔT Examples
| Application | Typical ΔT |
|---|---|
| Light commercial | 8–10°F |
| Medium industrial | 10–12°F |
| High-capacity chillers | 12–15°F |
Example (ΔT = 10°F):

Cooling towers perform according to wet-bulb temperature (WBT) — the lowest achievable water temperature based on ambient conditions.
The design WBT and desired cold-water temperature (CWT) determine the tower performance.
Example:
| Parameter | Value |
|---|---|
| Design WBT | 78°F |
| Hot water temp (entering tower) | 95°F |
| Desired cold water temp (leaving tower) | 85°F |
| Approach (difference between CWT & WBT) | 7°F |
This performance requirement helps define the cooling tower capacity (tons) needed.
For systems with multiple chillers, common approaches include:
One large tower sized for total rejection
Two or more towers sized for redundancy
Modular selection based on peak loads
Sizing must ensure that at least one tower can handle peak load if others are offline.
Manufacturers like Mach Cooling offer water cooled towers, chilled water cooling towers, and condenser water cooling towers with engineered performance data.
Here’s how to match equipment to your calculated needs:
| Requirement | Value |
|---|---|
| Condenser water flow | 1,200 GPM |
| Hot water temp | 95°F |
| Cold water temp | 85°F |
| Design wet-bulb | 78°F |
| Calculated tons | 500 TR |
| Recommended tower | Model MCT-500 (Mach Cooling) |
Note: Models and part numbers are illustrative — actual models must be confirmed with manufacturer data.
Understanding what affects cooling tower performance helps in sizing and selecting the right unit.
Cooling towers perform differently based on:
Wet-bulb temperature
Relative humidity
Seasonal variations
Sizing must use design wet-bulb conditions from local climate data.
If your system uses a smaller ΔT, the required cooling tower capacity increases. Always use realistic numbers based on your process design.
Poor water quality affects performance and can require larger towers or treatment systems.
Sizing impacts:
A tower too large wastes energy and space; too small increases chiller and pump stress.
Proper sizing reduces:
Over-hauls
Excessive fan or pump operation
Water treatment costs
Mach Cooling (https://www.machcooling.com/) specializes in cooling towers engineered for a wide range of applications — from standard condenser water cooling towers to custom chilled water cooling tower solutions.
Custom design based on site parameters
High-efficiency fill media and water distribution systems
Durable materials for long service life
Technical support for system integration
Whether your job requires a water cooled tower for a chiller plant or a large-capacity condenser system, Mach Cooling’s engineering team can optimize performance.
Correct installation ensures performance matches design assumptions.
Verify foundation and structural supports
Confirm piping and flow rates
Provide adequate maintenance access
Flush system water loops
Balance flow rates
Check tower drift eliminators and pack fill
Even correctly sized towers might suffer from:
Check wet-bulb variations
Verify ΔT capabilities
Inspect fouling or scaling
Inspect for drift loss
Verify makeup water controls
| Chiller Size (TR) | Approx. Condenser Load (BTU/hr) | Required GPM (ΔT=10°F) | Tower Size (tons) |
|---|---|---|---|
| 200 TR | 3,000,000 | 600 | ~250–300 TR |
| 400 TR | 6,000,000 | 1,200 | ~500–600 TR |
| 600 TR | 9,000,000 | 1,800 | ~800–900 TR |
| 800 TR | 12,000,000 | 2,400 | ~1,100–1,300 TR |
Note: Actual selection should be verified using manufacturer curves and local wet-bulb data.
Correctly sizing a cooling tower for a chiller system is essential for efficiency, reliability, and long-term cost control. By using solid engineering principles — heat rejection, ΔT, condenser water flow, and design wet-bulb conditions — engineers can estimate the capacity required for a water cooled tower, chilled water cooling tower, or condenser water cooling tower.
Partnering with a reputable manufacturer like Mach Cooling ensures that your cooling tower meets performance expectations, supports your chiller load reliably, and offers long service life.
2026 Best 6 Cooling Tower Brands in Lebanon: Top Manufacturers And Their Market Impact
2026 Cooling Tower Manufacturer Ranking in Jordan: A Comprehensive Overview
Top 5 Cooling Tower Manufacturers in Afghanistan by Performance And Sustainability in 2026
2026 TOP 8 Leading Cooling Tower Companies in Bhutan: Who’s Pioneering Innovation
Top 5 Rated Cooling Tower Manufacturers in Maldives for Commercial And Industrial Use
2026 Top 10 Ranking The Best Cooling Tower Companies in Nepal: Who Makes The Most Efficient Systems
Best Cooling Tower Manufacturers in Bangladesh: TOP 5 Ranking And Industry Insights
Cooling Tower Manufacturer Rankings in Pakistan: Who’s at The Top?
Top 10 Cooling Tower Manufacturers in India You Need To Know in 2026